الإجابات النموذجية2024
ماستر1 محاسبة و جباية
السداسي الاول
السداسي الثاني
تنظيم و أخلاقيات مهنة المحاسبة
معايير التقاريير المالية الدولية
ماستر1 تسويق الخدمات
السداسي الثاني
السداسي الاول
التحليل التنافسي و الاستراتيجي
الثالثة ادارة الموارد البشرية
السداسي الخامس (استدراك)
اليقظة الاجتماعية و تسيير النزاعات
التطبيقات الأولية لتحليل المعطيات
السداسي السادس
الإدارة الاستراتيجية للموارد البشرية
السداسي الخامس
اليقظة الاجتماعية و تسيير النزاعات
الثالثة ادارة مالية
السداسي الخامس (استدراك)
السداسي السادس
السداسي الخامس
التطبيقات الأولية لتحليل المعطيات
ماستر1 تسيير عمومي
السداسي الثاني
إدارة الموارد البشرية في القطاع العمومي
الرقابة و التدقيق في القطاع العمومي
السداسي الأول
الإجابات النموذجية2023
اماستر 1 محاسبة و تدقيق
السداسي الثاني
قانون الضرائب المباشرة و غير المباشرة
معايير التقارير المالية الدولية
تنظيم مهنة المحاسبة في الجزائر
السداسي الاول
السنة أولى
فرنسية 1
مدخل للعلوم القانونية (المجموعتين A وD)، (المجموعة C)، (المجموعة B)
السداسي الثاني
القانون التجاري (الأستاذة: معزي صونية)
الثالثة إدارة الموارد البشرية
السداسي السادس
ادارة إستراتيجية للموارد البشرية
السداسي الخامس
تطبيقات اولية في تحليل المعطيات
اليقظة الإجتماعية و تسيير النزاعات
الإستدراك
اأولى ماستر GP
السداسي الثاني
التدقيق و الرقابة في القطاع الحكومي
إقتصاديات المالية العامة المعمقة
السداسي الاول
مراقبة التسيير في القطاع العمومي
القانون الأساسي للوظيف العمومي
ادارة ميزانية الجماعات المحلية
التحليل المعاصر للإدارة العمومية
الثالثة تجارة دولية
السداسي السادس
بورصة البضائع
القانون ( 04 - 08): شروط ممارسة الأنشطة التجارية
لغة أجنبية
السداسي الخامس
الثانية إقتصاد
السداسي الرابع
مكافحة الفساد و أخلاقيات العمل
السداسي الثالث
الإقتصاد النقدي و أسواق رأس المال
الاستدراك
الإجابات النموذجية2022
الثالثة إدارة الموارد البشرية
السداسي السادس
الإدارة الإستراتيجية للموارد البشرية
السداسي الخامس
اليقظة الإجتماعية وتسيير النزاعات
التطبيقات الأولية لتحليل المعطيات
م1.إدارة الميزانية
السداسي الثاني
الرقابة و التدقيق في القطاع الحكومي
إدارة ميزانية الجماعات المحلية
السداسي الأول
نماذج التنبؤ : دورة عادية / دورة إستدراكية
م1.تسيير عمومي
لسداسي الثاني
الرقابة و التدقيق في القطاع الحكومي
تسيير الجماعات المحلية و تهيئة الإقليم
اقتصاديات المالية العومية المعمقة
السداسي الأول
-التحليل المعاصر للإدارة العامة
الاجابات النموذجية 2021/2020
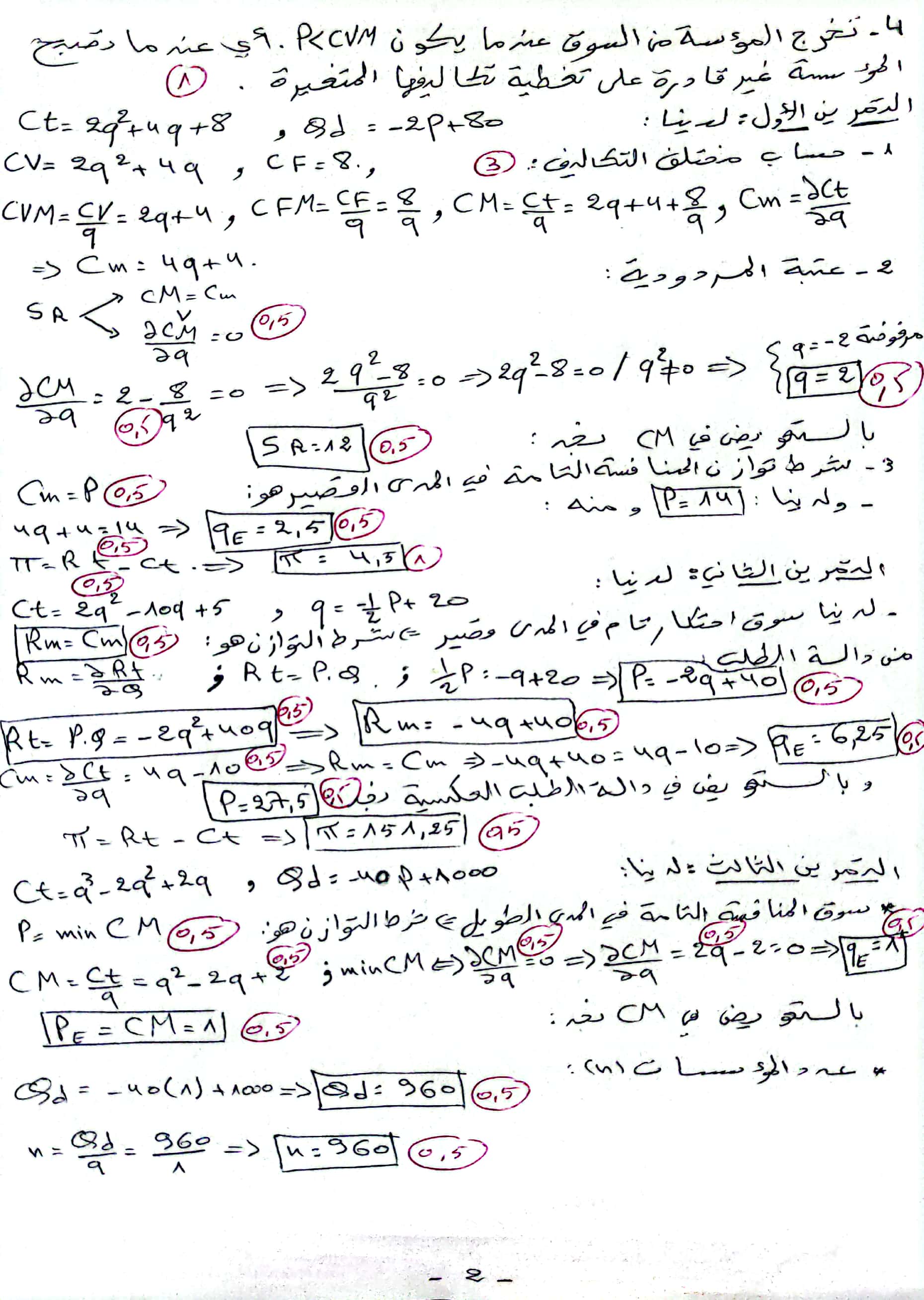
2 الإجابة النموذجية لامتحان الرياضيات
الإجابة النموذجية لامتحان المحاسبة المالية 2
الإجابة النموذجية لامتحان الاحصاء 2
الإجابة النموذجية لامتحان الاقتصاد الجزئي 2
الإجابة النموذجية لامتحان مدخل لإدارة الأعمال
الإجابة النموذجية لامتحان الفرنسية 2
الإجابة النموذجية لامتحان الإعلام آلي
الإجابة النموذجية لامتحان القانون التجاري المجموعتين A وB
السداسي الثاني
الرقابة و التدقيق في القطاع الحكومي
تسيير الجماعات المحلية و تهيئة الإقليم
إقتصاديات المالية العامة المعمقة
الإستدراك-السداسي الأول
التحليل المعاصر للإدارة العامة
{slider=الاجابات النموذجية -ماستر1تسويق الخدمات }
السداسي الثاني
{/slider}